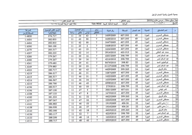
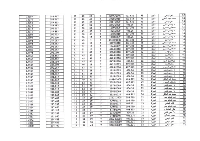
نتيجة جمعية تأصيل وتنمية حمام الزاجل سباق محطة مرسى مطروح 405ك السباق الخامس لموسم 2010 فالبنارك للفائزين وحظ أوفر للباقي المتسابقين بإذن الله .
نشرت فى 3 مايو 2010
بواسطة mohamedashraf
عدد زيارات الموقع
661,936



عدد زيارات الموقع
ساحة النقاش