مذكرة من الاستاذ حسام عزت 2016 بخط اليد اول درسين من هندسة الاول الثانوى






























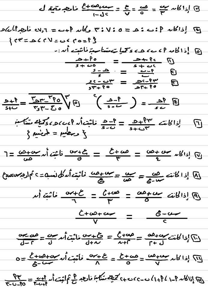
تابع مذكرة الرياضيات الثالث الاعدادى ترم اول الوحدة الثانيه النسبة والتناسب 3 ع بالله عليكم أسألكم الدعاء الأستاذ حسام عزت 2016
الوحدة الثانيه النسبة والتناسب 3 ع بالله عليكم أسألكم الدعاء


























ساحة النقاش